我要当掌门门派大殿升级要求分享
作者:佚名 来源:57自学网 时间:2023-12-15
《我要当领袖》是一款放置类武侠养成游戏。游戏中,玩家扮演宗门掌门,管理自己的宗门,建造宗门设施,招收弟子,安排弟子修行,招募各地强
《我要当领袖》是一款放置类武侠养成游戏。游戏中,玩家扮演宗门掌门,管理自己的宗门,建造宗门设施,招收弟子,安排弟子修行,招募各地强者。僧人等等,今天给大家带来的是《我要当掌门》门派大殿升级要求分享。如果你想知道宗堂升级需要什么,就来看看吧!
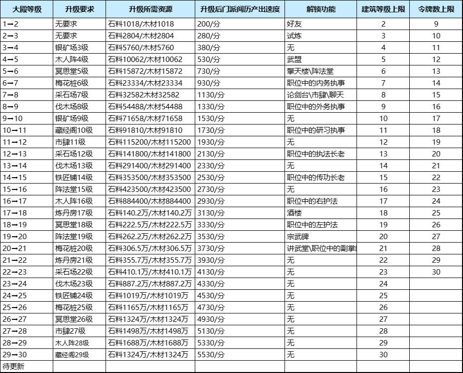
武馆升级要求
武堂四级要求:银矿
宗堂第五层要求:木阵
宗堂第六层:禅堂的要求
宗堂七级要求:梅花桩
武堂8级要求:采石场
宗堂9级要求:伐木场
武堂10级要求:银矿
宗堂十一层:藏经阁要求
宗堂12级要求:商店
武堂13级要求:采石场
武馆14级要求:伐木场
宗堂15级要求:铁匠铺
宗堂第十六层要求:结界殿
宗堂第十七层要求:木阵
宗堂第十八层:炼丹室要求
宗堂第十九层:冥想堂要求
宗堂第20层要求:结界堂
宗堂21层要求:梅花桩
宗堂22层炼丹室要求
武堂23级要求:采石场
武馆24级要求:伐木场
宗堂25级要求:铁匠铺
宗堂26级要求:梅花桩
宗堂27级:冥想堂要求
宗堂28级要求:商店
宗堂29层要求:木阵
宗堂第30层:藏经阁要求
图表如下:
- 上一篇:自由度高的开放世界生存游戏排行
- 下一篇:有趣的全是梗的游戏推荐
